Parish of Cameron
March 12, 2007
The Cameron Parish School Board met in regular session on this date with the following members present: Loston McEvers, Dot Theriot, Rachel Abadie, Dwayne Sanner, Patty Morris, and Marvin Trahan.
The Board received comments from Mr. Pat Howerton on recommending Mr. Richard Scott Nunez for school board member for District 3.
On motion of Mr. Sanner, seconded by Mrs. Abadie, the Board appointed Mr. Richard Scott Nunez for the vacancy in District 3, Cameron Parish School Board.
On motion of Mrs. Abadie, seconded by Mrs. Theriot, the Board approved the agenda.
On motion of Mr. Sanner, seconded by Mr. Trahan, the Board approved the minutes as printed from February 12, 2007 regular board meeting.
On motion of Mr. Trahan, seconded by Mr. Sanner, the Board approved the Mineral Lease on Section 16-14-5. (Resolution)
Bid: 16-14-5
100 acres on the southwest side of section.
Pel-Tex Oil Company, L.L.C. $30,300.00 100 acres
25% royalties
On motion of Mr. Trahan, seconded by Mrs. Theriot, the Board approved recognizing the following students with Student of the Year awards, Students for Special Distinction and the introduction of Cameron Parish Extension 4-H agent.
Student of the Year Awards for 2007
Elementary School Student of the Year Jolie Trahan, Hackberry School
Middle School Student of the Year Kaylan Mudd, Grand Lake School
High School Student of the Year Sara Taylor, Grand Lake School
Students for Special Distinction
Sara Taylor, Grand Lake School, $6,000 Scholarship W.F. Vaughan PPG Scholarship.
Arlis Duhon, South Cameron School, chosen to attend Cyberhigh Summer Workshop in computer graphic design at Northwestern State University.
Christian McCall, South Cameron School graduate, passed the Certified Pharmacy-Technician test.
Cameron Parish 4-H Agent Introduced
Lou Ann Jenkins, new 4-H Agent for Cameron Parish was introduced by LSU Extension Agent Gary Wicke.
On motion of Mrs. Abadie, seconded by Mrs. Theriot, the Board approved the property insurance coverage for the term of April 1, 2007 to April 1, 2008. The approved premium is $780,394.00 from the following companies: RSUI, AWAC- WESTCHERSTER/ACE AND ARCH for $35,404,989.00 in coverage. The policy also has $750,000.00 for computer coverage with a $5,000.00 deductible per occurrence. (Attachment)
On motion of Mrs. Theriot, seconded by Mrs. Morris, the Board approved the resolution pursuant to litigation involving assessment and ad valorem taxation of certain pipeline property as recommended by Assessor Bobby Conner and Sheriff Theos Duhon. (Resolution )
On motion of Mrs. Theriot, seconded by Mr. Trahan, the Board approved the deletion of Policy Statement - Management of FEMA Funds as received at the February 12, 2007 board meeting for action on March 12, 2007.
On motion of Mrs. Abadie, seconded by Mrs. Morris, the Board approved waiving the building use fees for Jeff Davis Electrics annual meeting at the Grand Lake High School gym for Monday July 9, 2007 as presented by Mr. McEvers.
On motion of Mrs. Theriot, seconded by Mr. Trahan, the Board approved the report on the design of the new PreKdgt 12 school South Cameron High as reported by Mrs. Dot Theriot, Mr. Marvin Trahan and Mr. Loston McEvers.
On motion of Mr. Trahan, seconded by Mrs. Morris, the Board approved the report on the design of the permanent central office complex to be located at 510 Marshall Street, Cameron, LA as presented by Mr. Welch and Mr. McEvers.
On motion of Mrs. Theriot, seconded by Mr. Nunez, the Board tabled the discussion on the Chenieres Pre-Paid Tax Proposal, pending passage of the March 31st, 2007 renewal tax maintenance election.
On motion of Mr. Sanner, seconded by Mrs. Theriot, the Board approved the school-based-out-of-state trip requests as follows:
*4th 5th grades from CES & SCE to NASA, Houston, April 2, 2007
*Varsity Cheerleaders, SCHS, Camp at Gulf Shores, AL, May 30th June 3rd
Danceline, SCHS, Omni Hotel at San Antonio, Texas, July 22nd 26th, 2007
*7th grade, Life Science, GLHS, Outer Space Academy at NASA, Houston, April 12th
*6th grade, Science, GLHS, Outer Space Academy at NASA, Houston, April 23rd
On motion of Mrs. Theriot, seconded by Mrs. Morris, the Board approved to reconsider transporting students for 2007-2008 school term.
On a motion by Mrs. Theriot, seconded by Mr. Trahan, the Board granted the superintendent and staff permission to develop a plan to transport students to South Cameron for the 2007-2008 school session from pickup points in the Big Lake, Grand Lake, and Sweetlake areas as well as a plan for Johnson Bayou students in the Hackberry area.
On motion of Mrs. Theriot, seconded by Mrs. Morris, the Board approved the payment of bills and the financial statement as presented by Ms. Margaret Jones.
On motion of Mr. Trahan, seconded by Mr. Sanner, the Board received a report on the restoration of the complex at South Cameron High as presented by Mr. Welch.
On motion of Mr. Trahan, seconded by Mrs. Theriot, the Board was informed that the bid results for Janitorial Supplies, Paper Goods, Copy Paper and School Food Service Non-Food Supplies would be presented at the May 14, 2007 due to the examination of samples provided by vendors when bids are submitted.
On motion of Mr. Sanner, seconded by Mr. Nunez, the Board approved permission to advertise bids for alligator egg collection on school board property and the bids will be split east or west of the river.
On motion of Mr. Trahan, seconded by Mrs. Morris, the Board approved to amend surface lease with the United States Fish and Wildlife Service Lacassine Refuge as explained by Mr. Benoit.
On motion of Mrs. Theriot, seconded by Mrs. Abadie, the Board received a report from Miss Kestel and Mr. Welch on Re-Start Funds. The school board has received $2.4 million that was requested and was used for payroll/benefits, buses and cafeteria equipment. This money can not be spent on capital outlay. A request has been made for additional Restart funds in the amount of $9 million.
On motion of Mrs. Theriot, seconded by Mrs. Abadie, the Board approved to purchase (2) regular education 65 passenger buses. The school board will piggy back on the Red River Parish Transportation bid which Ross Bus Sales is the successful bidder.
(2) 65 passenger regular education buses
$69,507.00 each = $139.014.00
On motion of Mrs. Abadie, seconded by Mr. Nunez, the Board reaffirmed the Pupil Progression Plan in place prior to Hurricane Rita with adjustments mandated by BESE as presented by the Superintendent. (Attachment)
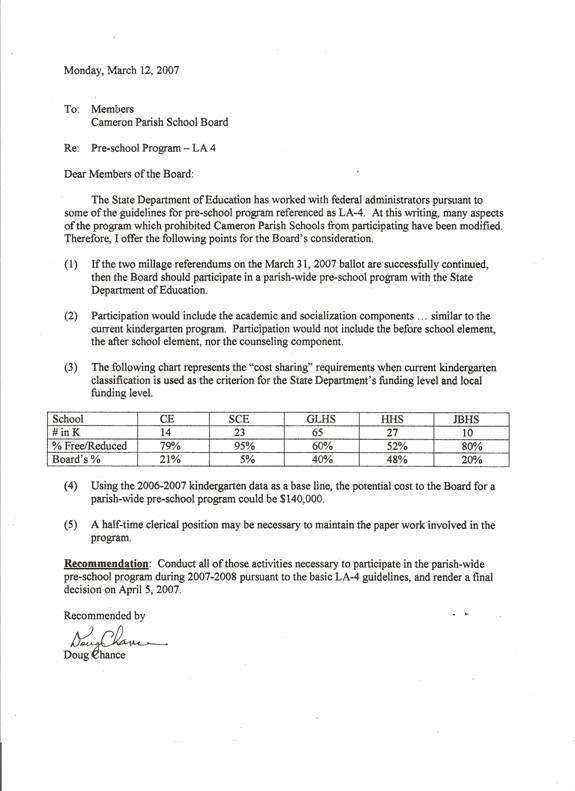
On motion of Mrs. Abadie, seconded by Mr. Sanner, the Board approved implementing the LA 4 Pre-school Program with the passage of millage taxes as presented by the Superintendent. (Attachment)
On motion of Mrs. Theriot, second by Mrs. Morris, the Board approved the personnel report.
Personnel Report
The following listed personnel actions are recommended by the superintendent.
______________________________
Douglas L. Chance, Superintendent
Leave Requests
Maranda Busby Teacher, Johnson Bayou High School, sick leave and extended sick leave pursuant to the physician beginning April 16, 2007 through approximately May 25, 2007
Cherie Myers, Teacher, Grand Lake High School, sick leave and extended sick leave pursuant to the physician beginning March 9, 2007 through
April 23, 2007
Mona Batts, Teacher, South Cameron High School, sick leave and extended sick leave pursuant to the physician beginning February 21st through further notice
Resignation
Paul Poole, Custodian, Grand Lake High School, resignation in order to retire, effective at the close of the day, March 29, 2007.
Jessica Badon, Child Specific Aide, Johnson Bayou School, resignation effect at the close of the day, March 16, 2007, in order for her to assume another position and the opportunities therein.
Appointment
Gene Reynolds, Principal, Johnson Bayou High School, regular two year performance contract for the beginning of the 2007-2008 school session, and preparations germane thereto, through June 30, 2009.
On motion of Mrs. Morris, seconded by Mr. Sanner, the Board adjourned the meeting with the next regular school board meeting being April 5, 2007 at 9:00A.M. at the LSU Ag Center, 7107 Gulf Highway, Lake Charles, LA 70607.
APPROVED:
______________________________
Loston McEvers, President
CAMERON PARISH SCHOOL BOARD
ATTEST:
____________________________
Douglas L. Chance, Secretary
CAMERON PARISH SCHOOL BOARD
R E S O L U T I O N
WHEREAS, in accordance with the laws of the State of Louisiana, application was made to the Cameron Parish School Board requesting that Section 16, Township 14 South, Range 5 West containing 640.00 acres, more or less, belonging to the Cameron Parish School Board, be advertised for an oil and gas lease, and
WHEREAS, in due course the requested advertisement the following bid was received and opened in public session of the Cameron Parish School Board on the 12th day of March, 2007, at a regular meeting of the Cameron Parish School Board:
BIDDER: Pel-Tex Oil Company, L.L.C..
BID: For a three (3) year lease on Oil, Gas and other Liquid Gaseous Hydrocarbon Mineral Lease on 100.0 acres more fully described as:
That certain tract of land containing 100.0 acres, more or less, lying in the South Half (S/2) of Section 16, Township 14 South, Range 5 West, being more particular described as follows: Beginning at a point, being the Southwest cormer of said Section 16, thence running East along the South line of said Section 16 a distance of 2,904 feet, thence running North a distance of 1,500 feet, thence running West a distance of 2,904 feet to the West line of said Section 16, thence running South a distance of 1,500 feet along the West line of said Section 16 to the point of beginning.
CASH PAYMENT: $30,300.00
ANNUAL RENTAL: $30,300.00
ROYALTIES: 25% of all oil produced and saved or utilized, but not less than 1/4th;
25% of all gas produced and saved or utilized, but not less than 1/4th;
25% of all other liquid or gaseous minerals in solution and produced with oil and gas and saved or utilized, but not less than 1/4th;
WHEREAS, the Cameron Parish School Board feels that it is in the best interest of the Cameron Parish School Board to accept the bid of PEL-TEX OIL COMPANY, L.L.C.
NOW, THEREFORE BE IT RESOLVED by the Cameron Parish School Board in regular session convened at the office of said School Board in Cameron, Louisiana on the 12h day of March, 2007 the bid of $30,300.00 be accepted, and
BE IT FURTHER RESOLVED that Loston McEvers, President of the Cameron Parish School Board, be and he is hereby authorized and directed to execute on behalf of the Cameron Parish School Board an oil and gas lease in favor of PEL-TEX OIL COMPANY, L.L.C. covering the above described bid as submitted and said lease to be subject to the approval of the State Mineral Board.
Adopted and approved the 12th day of March, 2007.
APPROVED:
_____________________________
Loston McEvers, President
CAMERON PARISH SCHOOL BOARD
ATTEST:
_________________________________
Douglas L. Chance, Secretary
RESOLUTION
WHEREAS, there is on-going litigation over the assessment and ad valorem taxation of certain pipeline property located in Cameron Parish and the Assessor and Sheriff have been named as defendants in the following suits and/or proceedings:
|
Transcontinental Gas Pipeline Corp., et al. v. Louisiana Tax Commission, et al. |
|
Suit No. 10-16000, 38th Judicial District Court |
|
|
|
Transcontinental Gas Pipeline Corp., et al. v. Louisiana Tax Commission, et al. |
|
Suit No. 491,194 c/w 491,250, 19th Judicial District Court |
|
|
|
ANR Pipeline Co. v. Louisiana Tax Commission, et al. |
|
Suit No. 528,555, 19th Judicial District Court |
|
|
|
ANR Pipeline Co. v. Louisiana Tax Commission, et al. |
|
Suit No. 539,825, 19th Judicial District Court |
|
|
|
ANR Pipeline Co. v. Louisiana Tax Commission, et al. |
|
Suit No. 551,243, 19th Judicial District Court |
|
|
|
Southern Natural Gas Co. v. Louisiana Tax Commission, et al. |
|
Suit No. 528,556, 19th Judicial District Court |
|
|
|
Southern Natural Gas Co. v. Louisiana Tax Commission, et al. |
|
Suit No. 539,827, 19th Judicial District Court |
|
|
|
Southern Natural Gas Co. v. Louisiana Tax Commission, et al. |
|
Suit No. 551,245, 19th Judicial District Court |
|
|
|
Tennessee Gas Pipeline Co. v. Louisiana Tax Commission, et al. |
|
Suit No. 528,554, 19th Judicial District Court |
|
|
|
Tennessee Gas Pipeline Co. v. Louisiana Tax Commission, et al. |
|
Suit No. 539,828, 19th Judicial District Court |
|
|
|
Tennessee Gas Pipeline Co. v. Louisiana Tax Commission, et al. |
|
Suit No. 551,247, 19th Judicial District Court |
|
|
|
Florida Gas Transmission Corp., et. al. v. Louisiana Tax Commission, et al. |
|
Suit No. 10-15748, 38th Judicial District Court |
|
Florida Gas Transmission Co. Louisiana Tax Commission, et al. |
|
Suit No. 516,393, 19th Judicial District Court |
|
|
|
Florida Gas Transmission Co. Louisiana Tax Commission, et al. |
|
Suit No. 528,768, 19th Judicial District Court |
|
|
|
Florida Gas Transmission Co. Louisiana Tax Commission, et al. |
|
Suit No. 540,101, 19th Judicial District Court |
|
|
|
Florida Gas Transmission Co. Louisiana Tax Commission, et al. |
|
Suit No. 551,243, 19th Judicial District Court |
WHEREAS, as this litigation proceeds it has become necessary for the Assessor to defend the assessments in legal proceedings;
WHEREAS, such a defense will necessitate the Assessor and Sheriff contracting with legal counsel;
WHEREAS, in an effort to limit the costs of such legal counsel, which cost is ordinarily borne proportionately by the ad valorem taxing bodies in this Parish, the Assessor intends on engaging legal counsel on a contingency fee basis, with any fees coming only from any additional taxes collected as a result of the new assessments of the above referenced tax payers; and
WHEREAS, the Cameron Parish School Board will benefit from the collection of any additional ad valorem taxes collected with the assistance of the legal counsel contracted by the Assessor.
NOW THEREFORE BE IT RESOLVED by the Cameron Parish School Board
in a duly called open meeting does hereby authorize the Assessor and Sheriff to engage BRIAN A. EDDINGTON, Attorney at Law as legal counsel for its benefit in the above referenced proceedings on a contingency fee basis, not to exceed 10% of the additional taxes, interest and penalties collected for its benefit pursuant to the decision of the Louisiana Tax Commission in the above referenced proceedings or by judgment of a reviewing Court and does hereby obligate and encumber an amount not to exceed 10% of the additional taxes (including taxes paid under protest), interest and penalties collected for its benefit for the payment of said legal fees.
BE IT FURTHER RESOLVED by the Cameron Parish School Board\ that the Assessor and the Sheriff be and are hereby authorized to pay said legal fees to the legal counsel contracted by the Assessor to provide legal services in the above referenced matters prior to or contemporaneously with the disbursal of any additional taxes, interest and penalties to it.
__________________________________
NAME: Loston McEvers
TITLE: President
This Resolution adopted this 12th day of March, 2007 in a duly noticed meeting of the Cameron Parish School Board at which a quorum was present, by a vote of _7 Yeas, __0_Nays, __0 Absent and _0__ and Abstained.
ATTESTED TO BY:
__________________________________
NAME: Douglas L. Chance
Secretary
Attachment #1

Attachment #2

Attachment #3
